二叉树的层序遍历
题目链接: https://leetcode.cn/problems/binary-tree-level-order-traversal/
# LeetCode 102. 二叉树的层序遍历
# 题目描述
给你二叉树的根节点 root ,返回其节点值的 层序遍历 。 (即逐层地,从左到右访问所有节点)。
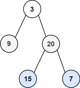
举个例子:

输入:root = [3,9,20,null,null,15,7]
输出:[[3],[9,20],[15,7]]
# 知识回顾
广度优先搜索(BFS) 是一种图形搜索算法,它的基本思想是从一个顶点出发,先访问它的所有邻接顶点,然后再按照同样的方式访问这些邻接顶点的未访问邻接顶点,直到图中所有顶点都被访问。广度优先搜索算法通常使用队列来存储待访问的顶点,并使用一个数组或者集合来记录已访问的顶点。
# 思路解析
二叉树作为一种特殊的图,广度优先搜索(BFS)同样适用于二叉树的遍历,广搜的特点就是一层一层的遍历,很符合题目中按层序遍历的要求。因为广搜一般会使用一个队列来保存待访问的节点,节点进入队列的顺序又决定了每一层的节点访问时的顺序。对于二叉树如果左孩子先入队那么每一层的访问顺序是从左到右,如果右孩子先入队那么每一层的访问顺序是从右到左。
下面就以题目描述中给的例子来模拟下整个层序遍历的过程,为了更好的理解广搜在层序遍历中的应用,同学们最好在纸上自己模拟一遍加深理解。
- 根节点首先入队。

- 访问队列中的二叉树的第一层节点,并将第一层节点的左孩子和右孩子依次入队。第一层节点访问完,第二层的节点自左向右已经全部入队。

- 访问队列中的二叉树的第二层节点,并将第二层节点的左孩子和右孩子依次入队。第二层节点访问完,第三层的节点自左向右已经全部入队。

- 直到队列为空,返回的顺序为
[[3], [9, 20], [15, 7]]。
# C++代码
/**
* Definition for a binary tree node.
* struct TreeNode {
* int val;
* TreeNode *left;
* TreeNode *right;
* TreeNode() : val(0), left(nullptr), right(nullptr) {}
* TreeNode(int x) : val(x), left(nullptr), right(nullptr) {}
* TreeNode(int x, TreeNode *left, TreeNode *right) : val(x), left(left), right(right) {}
* };
*/
class Solution {
public:
vector<vector<int>> levelOrder(TreeNode* root) {
vector<vector<int>> res;
queue<TreeNode*> q;
if (root)
q.push(root);
while (!q.empty()) {
//队列中元素的个数
int q_len = q.size();
vector<int> tmp_vec;
//从队列中取出q_len在同一层的元素
for (int i = 0; i < q_len; ++i ) {
TreeNode* node = q.front();
q.pop();
tmp_vec.push_back(node->val);
//把左右孩子放入队列中,左孩子先入队列
if (node->left)
q.push(node->left);
if (node->right)
q.push(node->right);
}
if (q_len > 0) {
res.push_back(tmp_vec);
}
}
return res;
}
};
# 复杂度分析
时间复杂度: 需要遍历整棵树,所以时间复杂度和树的总节点数相关。
空间复杂度: 需要利用一个队列,队列的长度和树的总节点数相关,所以空间复杂度也是和树的总节点数相关。
上次更新: 2024/07/08, 20:31:33